欢迎光临:莱耀标准品网!
 您的位置:对照品 > 标准品 > 农药标准品 >
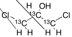
1,3-Dichloro-2-propanol-13C3
产品基本信息
产品编号:D435801
产品名称:1,3-Dichloro-2-propanol-13C3
产品CAS:
规格含量:25mg
产品价格:面议
联系我们:
产品详细介绍
标准品编号: D435801
名称: 1,3-Dichloro-2-propanol-13C3
别名: 1,3-Dichloro-2-hydroxypropane-13C3; 1,3-Dichlorohydrin-13C3; 1,3-Dichloroisopropanol-13C3; 1,3-Dichloroisopropyl Alcohol-13C3; 2-Chloro-1-(chloromethyl)ethanol-13C3; Bis(chloromethyl)methanol-13C3; Glycerol 1,3-Dichlorohydrin-13C3; Glycerol NSC 70982-13C3; Propylene Dichlorohydrin-13C3; 1,3-DCP-13C3
参考CAS号: 类似: 96-23-1
分子式: ¹³C₃H₆Cl₂O
外观: Viscous Oil
分子量: 131.96
溶解性: Dichloromethanel; Ethyl Acetate
种类: Standards; Isotopic Labeled Analogues;
应用: 1,3-Dichloro-2-propanol-13C3 is a labelled 1,3-Dichloro-2-propanol (D435800), which is chloropropanol which shows toxic effects. 1,3-Dichloro-2-propanol-13C3 is also an intermediate in synthesizing Glycidyl Stearate-13C3 (G615986), an isotope labelled Glycidyl Stearate which is an acid-hydrolyzable ester derivatives as low calorie fat mimetics. It is used in frying oil, margarine, ice cream, milk substitutes and bakery. Carcinogenic substance.
危险品: Not a dangerous good if item is equal to or less than 1g/ml and there is less than 100g/ml in the package
参考文献


2011-2018 信阳莱耀生物科技有限公司 @ 信阳埃尔文生物科技有限公司版权所有

中检所标准品,对照品,标准气体
Keywords: 中检所标准品 对照品 标准气体