欢迎光临:莱耀标准品网!
 您的位置:对照品 > 标准品 > 农药标准品 >
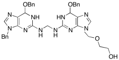
Des-(L-Valinyl) N9-Benzyl bis-(6-OGuaninyl-Benzyl) Guaninyl Valacyclovir
产品基本信息
产品编号:D288185
产品名称:Des-(L-Valinyl) N9-Benzyl bis-(6-OGuaninyl-Benzyl) Guaninyl Valacyclovir
产品CAS:
规格含量:2.5mg
产品价格:面议
联系我们:
产品详细介绍
标准品编号: D288185
名称: Des-(L-Valinyl) N9-Benzyl bis-(6-OGuaninyl-Benzyl) Guaninyl Valacyclovir
分子式: C₃₅H₃₈N₁₀O₄
外观: 白色固体
分子量: 662.74
种类: Standards; Pharmaceutical/API Drug Impurities/Metabolites;
应用: Des-(L-Valinyl) N9-Benzyl bis-(6-OGuaninyl-Benzyl) Guaninyl Valacyclovir is an intermediate in the synthesis of Guaninyl Valacyclovir (G836500), an impurity of Valacyclovir (V085000).
参考文献


2011-2018 信阳莱耀生物科技有限公司 @ 信阳埃尔文生物科技有限公司版权所有

中检所标准品,对照品,标准气体
Keywords: 中检所标准品 对照品 标准气体