欢迎光临:莱耀标准品网!
 您的位置:对照品 > 标准品 > 进口标准品 >
MG-101 (ALLN)
产品基本信息
产品编号:M340950
产品名称:MG-101 (ALLN)
产品CAS:110044-82-1
规格含量:2mg
产品价格:面议
联系我们:
产品详细介绍
标准品编号: M340950
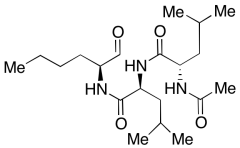
名称: MG-101 (ALLN)
别名: (S)-N-Acetyl-L-leucyl-N-(1-formylpentyl)-L-leucinamide; ALLN; ALLnL; CI-1 (peptide); Calp I; Calpain inhibitor I; MG 101; (S)-N-Acetyl-L-leucinyl-L-leucinyl-L-norleucinal
CAS号: 110044-82-1
分子式: C₂₀H₃₇N₃O₄
外观: 白色固体
熔点: 138-142°C (subl.)
分子量: 383.53
溶解度: DMSO (Slightly), Methanol (Slightly)
种类: Standards; Pharmaceutical/API Drug Impurities/Metabolites;
应用: MG-101 (ALLN) is a potent inhibitor of cysteine proteases including caplains and cathespins. Used in the treatment of genotoxic agents or replication stress of cells. Neuroprotective product.
参考文献


2011-2018 信阳莱耀生物科技有限公司 @ 信阳埃尔文生物科技有限公司版权所有

中检所标准品,对照品,标准气体
Keywords: 中检所标准品 对照品 标准气体