您的位置:对照品 > 标准品 > 进口标准品 >
产品基本信息
产品编号:H952120
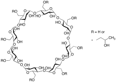
产品名称:(2-Hydroxypropyl)-γ-cyclodextrin (Technical Grade)
产品CAS:128446-34-4
规格含量:5g
产品价格:面议
联系我们:
产品详细介绍
标准品编号:
H952120
名称:
(2-Hydroxypropyl)-γ-cyclodextrin (Technical Grade)
别名:
2-hydroxypropyl Ethers γ-Cyclodextrin
CAS号:
128446-34-4
分子式:
N/A
外观:
白色至白色固体
熔点:
>240°C (dec.)
分子量:
0
储存:
-20°C Freezer
溶解度:
Water (Sparingly)
种类:
Building Blocks; Miscellaneous;
应用:
(2-Hydroxypropyl)-γ-cyclodextrin is used in the solubilization of macromolecules and in cell culture applications. Similar to β-Cyclodextrin (C987830), however can work with larger molecules.
参考文献
Motoyama, A. et al.: J. Pharmac. Biomed. Anal., 28, 97 (2002); Nakamura, N. et al. Biotechnol. Bioeng., 19, 87 (1977); Riddle, L. A. et al.: J. Chrom. Sci., 45, 330 (2007);
Download MSDS File