欢迎光临:莱耀标准品网!
 您的位置:对照品 > 标准品 > 进口标准品 >
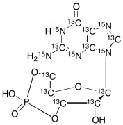
Guanosine 3’,5’-Cyclic-13C10, 15N5 Monophosphate
产品基本信息
产品编号:G837967
产品名称:Guanosine 3’,5’-Cyclic-13C10, 15N5 Monophosphate
产品CAS:
规格含量:250μg
产品价格:面议
联系我们:
产品详细介绍
标准品编号: G837967
名称: Guanosine 3’,5’-Cyclic-13C10, 15N5 Monophosphate
别名: Guanosine Cyclic-13C10, 15N5 3',5'-(Hydrogen phosphate) Sodium Salt; Cyclic-13C10, 15N5 3',5'-Guanosine Monophosphate Monosodium Salt; Guanosine Monophosphate-13C10, 15N5 Monosodium Salt; Monosodium-GMP-13C10, 15N5;
参考CAS号: 40732-48-7 unlabelled sodium salt
分子式: ¹³C₁₀H₈¹⁵N₅O₇P
分子量: 356.07
种类: Research Tools; Isotopic Labeled Analogues; Molecular Biology; Nucleic Acids; Enzyme Activators and Inhibitors;
应用: Guanosine 3’,5’-Cyclic-13C10, 15N5 Monophosphate is labelled Guanosine 3’,5’-Cyclic Monophosphate (G837960) which is a substituted Guanosine having cyclic phosphodiesterase activity.
参考文献


2011-2018 信阳莱耀生物科技有限公司 @ 信阳埃尔文生物科技有限公司版权所有

中检所标准品,对照品,标准气体
Keywords: 中检所标准品 对照品 标准气体