欢迎光临:莱耀标准品网!
 您的位置:对照品 > 标准品 > 进口标准品 >
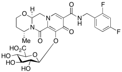
Dolutegravir O-β-D-Glucuronide
产品基本信息
产品编号:D528810
产品名称:Dolutegravir O-β-D-Glucuronide
产品CAS:1485692-21-4
规格含量:2.5mg
产品价格:面议
联系我们:
产品详细介绍
标准品编号: D528810
名称: Dolutegravir O-β-D-Glucuronide
别名: (4R,12aS)-9-[[[(2,4-Difluorophenyl)methyl]amino]carbonyl]-3,4,6,8,12,12a-hexahydro-4-methyl-6,8-dioxo-2H-pyrido[1',2':4,5]pyrazino[2,1-b][1,3]oxazin-7-yl β-D-Glucopyranosiduronic Acid
CAS号: 1485692-21-4
分子式: C₂₆H₂₇F₂N₃O₁₁
外观: 白色固体
熔点: 122-124°C
分子量: 595.5
储存: Hygroscopic, -20°C Freezer, Under inert atmosphere
溶解度: Methanol (Very Slightly), Water (Slightly)
种类: Standards; Chiral Molecules; Enzyme Activators and Inhibitors; Pharmaceutical/API Drug Impurities/Metabolites;
应用: Dolutegravir O-β-D-Glucuronide is a metabolite of Dolutegravir (D528800); a second generation HIV-1 integrase strand transfer inhibitor. Dolutegravir is currently in Phase III clinical trials for the treatment of HIV infection. Dolutegravir has been shown to potently inhibit HIV replication in cells such as peripheral blood mononuclear cells (PBMCs), MT-4 cells and CIP4 cells infected with a self-inactivating PHIV lentiviral vector.
参考文献


2011-2018 信阳莱耀生物科技有限公司 @ 信阳埃尔文生物科技有限公司版权所有

中检所标准品,对照品,标准气体
Keywords: 中检所标准品 对照品 标准气体