欢迎光临:莱耀标准品网!
 您的位置:对照品 > 标准品 > 进口标准品 >
3’,5’-Dihydroxy-2-[[2-(3-methyl-4-hydroxyphenyl)-1-methylethyl]amino-a
产品基本信息
产品编号:D453310
产品名称:3’,5’-Dihydroxy-2-[[2-(3-methyl-4-hydroxyphenyl)-1-methylethyl]amino-a
产品CAS:
规格含量:25mg
产品价格:面议
联系我们:
产品详细介绍
标准品编号: D453310
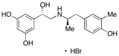
名称: 3’,5’-Dihydroxy-2-[[2-(3-methyl-4-hydroxyphenyl)-1-methylethyl]amino-acetophenone Hydrobromide
别名: 5-((S)-1-Hydroxy-2-(((R)-1-(4-hydroxyphenyl)propan-2-yl)amino)ethyl)benzene-1,3-diol Hydrobromide; Fenoterol Impurity C
分子式: C₁₈H₂₄BrNO₄
分子量: 398.29
种类: Standards; Pharmaceutical/API Drug Impurities/Metabolites;
应用: 3’5’-Dihydroxy-2-[[2-(3-methyl-4-hydroxyphenyl)-1-methylethyl]amino-acetophenone Hydrobromide is an impurity of fenoterol hydrobromide (F248850). Fenoterol hydrobromide is an β2-adrenergic agonist. Bronchodilator; tocolytic.
参考文献


2011-2018 信阳莱耀生物科技有限公司 @ 信阳埃尔文生物科技有限公司版权所有

中检所标准品,对照品,标准气体
Keywords: 中检所标准品 对照品 标准气体