欢迎光临:莱耀标准品网!
 您的位置:对照品 > 标准品 > 进口标准品 >
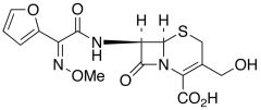
Descarbamoyl Cefuroxime
产品基本信息
产品编号:D288830
产品名称:Descarbamoyl Cefuroxime
产品CAS:56271-94-4
规格含量:5mg
产品价格:面议
联系我们:
产品详细介绍
标准品编号: D288830
名称: Descarbamoyl Cefuroxime
别名: (6R,7R)-7-[[(2Z)-2-(2-Furanyl)-2-(methoxyimino)acetyl]amino]-3-(hydroxymethyl)-8-oxo-5-thia-1-azabicyclo[4.2.0]oct-2-ene-2-carboxylic Acid; Cefuroxime Sodium Impurity F (EP); Cefuroxime Sodium EP Impurity A;
杂质: Cefuroxime Sodium EP Impurity A
CAS号: 56271-94-4
分子式: C₁₅H₁₅N₃O₇S
外观: 灰白色至浅褐色固体
熔点: >135°C (dec.)
分子量: 381.36
储存: -20°C Freezer, Under Inert Atmosphere
溶解性: DMSO (Slightly), Methanol (Slightly)
稳定性: Hygroscopic
种类: Standards; Pharmaceutical/API Drug Impurities/Metabolites; Antibotics;
应用: Descarbamoyl Cefuroxime (Cefuroxime Sodium EP Impurity A) is a degradation product of Cefuroxime, and an intermediate for the synthesis of Cephalosporin antibiotics
参考文献


2011-2018 信阳莱耀生物科技有限公司 @ 信阳埃尔文生物科技有限公司版权所有

中检所标准品,对照品,标准气体
Keywords: 中检所标准品 对照品 标准气体