欢迎光临:莱耀标准品网!
 您的位置:对照品 > 标准品 > 进口标准品 >
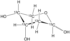
2-Deoxy-D-ribose-13C5
产品基本信息
产品编号:D252001
产品名称:2-Deoxy-D-ribose-13C5
产品CAS:266998-43-0
规格含量:25mg
产品价格:面议
联系我们:
产品详细介绍
标准品编号: D252001
名称: 2-Deoxy-D-ribose-13C5
别名: 2-Deoxy-D-erythro-pentose-13C5; 2-Deoxy-D-arabinose-13C5; D-(-)-2-Deoxyribose-13C5; Deoxyribose-5-13C; Thyminose-5-13C;
CAS号: 266998-43-0
参考CAS号: 533-67-5 - Unlabelled
分子式: ¹³C₅H₁₀O₄
外观: 白色至白色固体
熔点: 74 - 84°C
分子量: 139.09
储存: 冰箱保存
溶解性: Water (Slightly)
种类: Building Blocks; Isotopic Labeled Analogues; Carbohydrates and Oligosaccharides;
应用: 2-Deoxy-D-ribose-13C5 is the isotope labelled analogue of 2-Deoxy-D-ribose (D252000), a sugar that induces apoptosis by inhibiting the synthesis and increasing the efflux of glutathione.
参考文献


2011-2018 信阳莱耀生物科技有限公司 @ 信阳埃尔文生物科技有限公司版权所有

中检所标准品,对照品,标准气体
Keywords: 中检所标准品 对照品 标准气体