您的位置:对照品 > 标准品 > IRMM > |
|
|
|
| 产品基本信息 |
|
| 产品编号:C28H32O15 |
| 产品名称:斯皮诺素(棘苷)对照品 |
| 产品CAS:72063-39-9 |
| 规格含量:20mg |
| 产品价格:800 |
| 联系我们: |
|
|
|
|
|
| 产品详细介绍 |
|
中文名称 |
斯皮诺素对照品 |
中文别名 |
棘苷 |
|
英文名 |
Spinosin |
英文别名 |
Flavoayamenin |
|
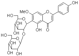
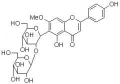
分子式 |
|
C28H32O15 |
分子量 |
608.54 |
CAS登录号 |
72063-39-9 |
|
|
提取来源 |
|
鼠李科植物酸枣Ziziphus psinosa Hu的干燥成熟种子 |
化学结构 |
|
|
外观 |
|
黄色粉末 |
 |
|
NMR; MS |
|
4℃冷藏、密封、避光 |
|
2年 |
|
无 |
|
|
鉴别方法 |
|
贮存条件 |
|
有效期 |
|
注意事项 |
|
溶解性 |
补充中 |
|
测定方法 |
HPLC法, 采用Agilent Eclipse XDB C18 柱( 150 mm ×4.6 mm,5 μm) ,以乙腈( A) - 水( B) 为流动相,梯度洗脱,0 min( 12%A) →8 min( 19%A) →12 min( 20%A) →26 min( 36%A) →28 min( 35%A) →32 min( 100%A) →40 min( 100%A), 柱温:25 ℃ ; 流速: 1. 0 mL /min,检测波长335nm |
|
药典测定方法 |
补充中 |
|
用途 |
用于含量测定/鉴定/药理实验等 |
|
|
|
|
|