您的位置:对照品 > 标准品 > IRMM > |
|
|
|
| 产品基本信息 |
|
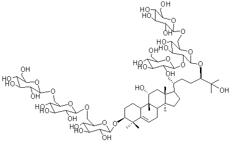
| 产品编号:C66H112O34 |
| 产品名称:罗汉果皂苷VIA(罗汉果皂苷VIa)对照品 |
| 产品CAS:2146088-13-1 |
| 规格含量:5mg |
| 产品价格:2980 |
| 联系我们: |
|
|
|
|
|
| 产品详细介绍 |
|
中文名称 |
罗汉果皂苷VI A对照品 |
中文别名 |
罗汉果皂苷VIa |
|
英文名 |
Mogroside VI A |
英文别名 |
Mogroside VIa |
|
分子式 |
|
C66H112O34 |
分子量 |
1449.58 |
CAS登录号 |
2146088-13-1 |
|
|
提取来源 |
|
|
外观 |
|
类白色或微黄色粉末 |
 |
|
NMR,MS |
|
4℃冷藏、密封、避光 |
|
2年 |
|
无 |
|
|
鉴别方法 |
|
贮存条件 |
|
有效期 |
|
注意事项 |
|
溶解性 |
溶于水,甲醇,DMSO |
|
测定方法 |
C18柱,乙腈/水=24/76, 40 min;203nm |
|
药典测定方法 |
无 |
|
用途 |
用于含量测定/鉴定/药理实验等 |
|
|
|
|
|