您的位置:对照品 > 标准品 > 分析标准品 > |
|
|
|
| 产品基本信息 |
|
| 产品编号:M320128 |
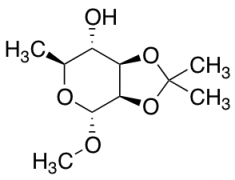
| 产品名称:Methyl 2,3-O-Isopropylidene-a-L-rhamnopyranoside |
| 产品CAS:14133-63-2 |
| 规格含量:50mg |
| 产品价格:面议 |
| 联系我们: |
|
|
|
|
|
| 产品详细介绍 |
| 标准品编号: |
M320128 |
| 名称: |
Methyl 2,3-O-Isopropylidene-a-L-rhamnopyranoside |
| CAS号: |
14133-63-2 |
| 分子式: |
C₁₀H₁₈O₅ |
| 分子量: |
218.25 |
| 种类: |
Building Blocks; Chiral Molecules; |
| 应用: |
Methyl 2,3-O-isopropylidene-a-L-rhamnopyranoside (cas# 14133-63-2) is a useful research chemical. |
| 参考文献 |
|
|
|
|
|
|