欢迎光临:莱耀标准品网!
 您的位置:对照品 > 标准品 > 分析标准品 >
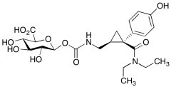
p-Hydroxy-Levomilnacipran Carbamoyl-β-D-glucuronide
产品基本信息
产品编号:H943915
产品名称:p-Hydroxy-Levomilnacipran Carbamoyl-β-D-glucuronide
产品CAS:
规格含量:10mg
产品价格:面议
联系我们:
产品详细介绍
标准品编号: H943915
名称: p-Hydroxy-Levomilnacipran Carbamoyl-β-D-glucuronide
别名: (2S,3S,4S,5R,6R)-6-(((((1S,2R)-2-(Diethylcarbamoyl)-2-(4-hydroxyphenyl)cyclopropyl)methyl)carbamoyl)oxy)-3,4,5-trihydroxytetrahydro-2H-pyran-2-carboxylic Acid
分子式: C₂₂H₃₀N₂O₁₀
分子量: 482.48
种类: Standards; Pharmaceutical/API Drug Impurities/Metabolites;
应用: p-Hydroxy-Levomilnacipran Carbamoyl-β-D-glucuronide is a derivative of Milnacipran (M344600), selective norepinephrine and serotonin reuptake inhibitor approved for the management of fibromyalgia.
参考文献


2011-2018 信阳莱耀生物科技有限公司 @ 信阳埃尔文生物科技有限公司版权所有

中检所标准品,对照品,标准气体
Keywords: 中检所标准品 对照品 标准气体