欢迎光临:莱耀标准品网!
 您的位置:对照品 > 标准品 > 分析标准品 >
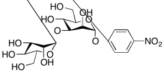
4-Nitrophenyl 3-O-(α-D-Mannopyranosyl)-α-D-mannopyranoside
产品基本信息
产品编号:N503925
产品名称:4-Nitrophenyl 3-O-(α-D-Mannopyranosyl)-α-D-mannopyranoside
产品CAS:93979-06-7
规格含量:2mg
产品价格:面议
联系我们:
产品详细介绍
标准品编号: N503925
名称: 4-Nitrophenyl 3-O-(α-D-Mannopyranosyl)-α-D-mannopyranoside
别名: Man1-α-3Man-α-OPNP
CAS号: 93979-06-7
分子式: C₁₈H₂₅NO₁₃
外观: 白色固体
熔点: 144-148°C
分子量: 463.39
储存: Hygroscopic, -20˚C Freezer, Under Inert Atmosphere
溶解度: Methanol (Slightly), Water (Slightly)
稳定性: Very Hygroscopic
种类: Building Blocks; Carbohydrates and Oligosaccharides;
应用: 4-Nitrophenyl 3-O-(α-D-Mannopyranosyl)-α-D-mannopyranoside (cas# 93979-06-7) is a compound useful in organic synthesis.
参考文献


2011-2018 信阳莱耀生物科技有限公司 @ 信阳埃尔文生物科技有限公司版权所有

中检所标准品,对照品,标准气体
Keywords: 中检所标准品 对照品 标准气体