欢迎光临:莱耀标准品网!
 您的位置:对照品 > 标准品 > 分析标准品 >
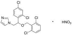
Isoconazole Nitrate
产品基本信息
产品编号:I798250
产品名称:Isoconazole Nitrate
产品CAS:24168-96-5
规格含量:100mg
产品价格:面议
联系我们:
产品详细介绍
标准品编号: I798250
名称: Isoconazole Nitrate
别名: 1-[2-(2,4-Dichlorophenyl)-2-[(2,6-dichlorophenyl)methoxy]ethyl]-imidazole Mononitrate; Adestan G 100; Fazol; Gyno-Travogen; R 15454; Travogen; Travogyn; Miconazole EP Impurity D (Nitrate);
杂质: Miconazole EP Impurity D
CAS号: 24168-96-5
参考CAS号: Free base; 27523-40-6
分子式: C₁₈H₁₅Cl₄N₃O₄
外观: 白色至白色固体
熔点: 179-181°C
分子量: 479.14
储存: 冰箱
溶解度: DMSO (Sparingly), Methanol (Slightly)
种类: Standards; Pharmaceutical/API Drug Impurities/Metabolites;
应用: Isoconazole Nitrate acts as an antibacterial in the local treatment of vaginitis; antifungal agent (1,2).
参考文献


2011-2018 信阳莱耀生物科技有限公司 @ 信阳埃尔文生物科技有限公司版权所有

中检所标准品,对照品,标准气体
Keywords: 中检所标准品 对照品 标准气体