欢迎光临:莱耀标准品网!
 您的位置:对照品 > 标准品 > 分析标准品 >
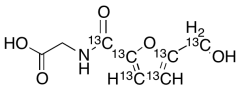
5-Hydroxymethyl-2-furoylglycine-13C6
产品基本信息
产品编号:H972783
产品名称:5-Hydroxymethyl-2-furoylglycine-13C6
产品CAS:
规格含量:2.5mg
产品价格:面议
联系我们:
产品详细介绍
标准品编号: H972783
名称: 5-Hydroxymethyl-2-furoylglycine-13C6
别名: N-[[5-(Hydroxymethyl)-2-furanyl]carbonyl]glycine-13C; 5-(hydroxymethyl)-promucuric Acid-13C
参考CAS号: Unlabelled: 38716-68-6
分子式: C₂¹³C₆H₉NO₅
分子量: 205.12
种类: Standards; Isotopic Labeled Analogues; Pharmaceutical/API Drug Impurities/Metabolites;
应用: 5-Hydroxymethyl-2-furoylglycine-13C6 is an isotope labelled compound of 5-Hydroxymethyl-2-furoylglycine (H972780), which functions as an analyte for the determination of hydroxymethylfurfural metabolites in human urine after oral application.
参考文献


2011-2018 信阳莱耀生物科技有限公司 @ 信阳埃尔文生物科技有限公司版权所有

中检所标准品,对照品,标准气体
Keywords: 中检所标准品 对照品 标准气体