欢迎光临:莱耀标准品网!
 您的位置:对照品 > 标准品 > 分析标准品 >
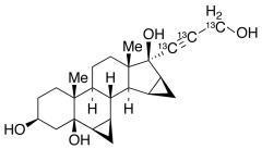
17-(3-Hydroxy-1-propynyl-13C3)-6β,7β:15β,16β-dimethyle
产品基本信息
产品编号:H952587
产品名称:17-(3-Hydroxy-1-propynyl-13C3)-6β,7β:15β,16β-dimethyle
产品CAS:
规格含量:25mg
产品价格:面议
联系我们:
产品详细介绍
标准品编号: H952587
名称: 17-(3-Hydroxy-1-propynyl-13C3)-6β,7β:15β,16β-dimethyleneandrostane -3β,5β,17β-triol
别名: (3S,5R,6R,7R,8R,9S,10R,13S,14S,15S,16S,17S)-octadecahydro-17 -(3-hydroxy-1-propynyl-13C3)-10,13-dimethyl-5H-dicyclopropa [6,7:15,16]cyclopenta[a]phenanthrene-3,5,17-triol
参考CAS号: 类似: 82543-17-7
分子式: C₂₁¹³C₃H₃₄O₄
外观: 白色固体
分子量: 389.5
溶解度: Chloroform, Methanol
种类: Standards; Chiral Molecules; Steroids; Isotopic Labeled Analogues;
应用: Intermediate for the preparation of Drospirenone.
参考文献


2011-2018 信阳莱耀生物科技有限公司 @ 信阳埃尔文生物科技有限公司版权所有

中检所标准品,对照品,标准气体
Keywords: 中检所标准品 对照品 标准气体