欢迎光临:莱耀标准品网!
 您的位置:对照品 > 标准品 > 分析标准品 >
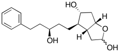
(3aR,4R,5R,6aS)-Hexahydro-4-[(3R)-3-hydroxy-5-phenylpentyl]-2H-cyclopenta[b]furan-2,5-diol
产品基本信息
产品编号:H294405
产品名称:(3aR,4R,5R,6aS)-Hexahydro-4-[(3R)-3-hydroxy-5-phenylpentyl]-2H-cyclopenta[b]furan-2,5-diol
产品CAS:352276-28-9
规格含量:5mg
产品价格:面议
联系我们:
产品详细介绍
标准品编号: H294405
名称: (3aR,4R,5R,6aS)-Hexahydro-4-[(3R)-3-hydroxy-5-phenylpentyl]-2H-cyclopenta[b]furan-2,5-diol
CAS号: 352276-28-9
分子式: C₁₈H₂₆O₄
外观: White Oil
分子量: 306.4
溶解度: DCM, Ethyl Acetate
种类: Building Blocks; Chiral Molecules; Pharmaceutical/API Drug Impurities/Metabolites;
应用: (3aR,4R,5R,6aS)-Hexahydro-4-[(3R)-3-hydroxy-5-phenylpentyl]-2H-cyclopenta[b]furan-2,5-diol is an intermediate in the synthesis of Latanoprost (L177280) related analogues used in the treatment of glaucoma and various degenerative eye diseases. Latanoprost Lactol an F-series prostaglandin analog.
参考文献


2011-2018 信阳莱耀生物科技有限公司 @ 信阳埃尔文生物科技有限公司版权所有

中检所标准品,对照品,标准气体
Keywords: 中检所标准品 对照品 标准气体