您的位置:对照品 > 标准品 > 分析标准品 > |
|
|
|
| 产品基本信息 |
|
| 产品编号:F598402 |
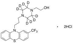
| 产品名称:Fluphenazine-d8 Dihydrochloride |
| 产品CAS: |
| 规格含量:10mg |
| 产品价格:面议 |
| 联系我们: |
|
|
|
|
|
| 产品详细介绍 |
| 标准品编号: |
F598402 |
| 名称: |
Fluphenazine-d8 Dihydrochloride |
| 别名: |
4-[3-[2-(Trifluoromethyl)-10H-phenothiazin-10-yl]propyl]-1-piperazine-d8-ethanol Dihydrochloride; 4-[3-[2-(Trifluoromethyl)phenothiazin-10-yl]propyl]-1-piperazine-d8-ethanol Dihydrochloride; Anatensol-d8; Dapotum-d8; Flufenazin-d8; |
| 参考CAS: |
未标记:146-56-5; Free Base: 1323633-98-2 |
| 分子式: |
C₂₂H₂₀D₈Cl₂F₃N₃OS |
| 外观: |
白色至白色固体 |
| 熔点: |
218-220ºC |
| 分子量: |
518.49 |
| 储存: |
Hygroscopic, -20°C Freezer, Under inert atmosphere |
| 溶解度: |
Methanol (Slightly), Water (Slightly) |
| 种类: |
Standards; Isotopic Labeled Analogues; Pharmaceutical/API Drug Impurities/Metabolites; |
| Boiling Point: |
N/A |
| 应用: |
Antipsychotic. |
| 危险品: |
Not a dangerous good if item is equal to or less than 1g/ml and there is less than 100g/ml in the package |
| 参考文献 |
|
|
|
|
|
|
|
|