欢迎光临:莱耀标准品网!
 您的位置:对照品 > 标准品 > 分析标准品 >
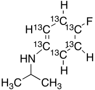
4-Fluoro-N-isopropylaniline-13C6
产品基本信息
产品编号:F595892
产品名称:4-Fluoro-N-isopropylaniline-13C6
产品CAS:
规格含量:5mg
产品价格:面议
联系我们:
产品详细介绍
标准品编号: F595892
名称: 4-Fluoro-N-isopropylaniline-13C6
别名: 4-Fluoro-N-(1-methylethyl)benzenamine-13C6; N-(4-Fluorophenyl)-N-isopropylamine-13C6; N-(4-Fluorophenyl)isopropylamine-13C6; N-Isopropyl-4-fluoroaniline-13C6
参考CAS: 70441-63-3
分子式: C₃¹³C₆H₁₂FN
分子量: 159.15
种类: Building Blocks; Isotopic Labeled Analogues; Miscellaneous;
应用: 4-Fluoro-N-isopropylaniline-13C6 is an intermediate for the synthesis of Flufenacet-13C6 (F599422), labelled Flufenacet (F599420) which is an anilide based herbicide that is applied to the soil surface or incorporated before the crop is emerged. Flufenacet is often used in field corn, corn grown for silage or soybeans to control annual grasses and broadleaf weeds.
参考文献


2011-2018 信阳莱耀生物科技有限公司 @ 信阳埃尔文生物科技有限公司版权所有

中检所标准品,对照品,标准气体
Keywords: 中检所标准品 对照品 标准气体