欢迎光临:莱耀标准品网!
 您的位置:对照品 > 标准品 > 分析标准品 >
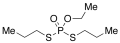
Ethoprophos
产品基本信息
产品编号:E890530
产品名称:Ethoprophos
产品CAS:13194-48-4
规格含量:10g
产品价格:面议
联系我们:
产品详细介绍
标准品编号: E890530
名称: Ethoprophos
别名: Phosphorodithioic Acid O-Ethyl S,S-Dipropyl Ester; Ethyl Propyl Phosphorodithioate; ENT 27318; Ethoprop; Ethoprophos; Mocap 10G; Mocap 6EC; O-Ethyl S,S-Dipropyl Dithiophosphate; O-Ethyl S,S-Dipropyl Phosphorodithioate; Profos; Prophos (ester); Rovokil; VC 9-104;
CAS号: 13194-48-4
分子式: C₈H₁₉O₂PS₂
外观: Colourless Oil
熔点: N/A
分子量: 242.34
储存: Hygroscopic, 冰箱保存, under inert atmosphere
溶解度: Chloroform (Slightly), DMSO (Slightly), Ethyl Acetate (Slightly)
种类: Standards; Enzyme Activators and Inhibitors; Pharmaceutical/API Drug Impurities/Metabolites;
应用: Ethoprophos is an organophosphate non-systemic nematicide and soil insecticide (1). Ethoprophos is an acetylcholinesterase (AChE) inhibitor (2,3). Drinking water contaminant candidate list 3 (CCL 3) compound as per United States Environmental Protection Agency (EPA), environmental, and food contaminants. Used as a standard for Pesticide detection. Ethoprophos is also useful in cannabis testing kits as a component of pesticide mixes (P698230).
危险品: Not a dangerous good if item is equal to or less than 1g/ml and there is less than 100g/ml in the package
参考文献


2011-2018 信阳莱耀生物科技有限公司 @ 信阳埃尔文生物科技有限公司版权所有

中检所标准品,对照品,标准气体
Keywords: 中检所标准品 对照品 标准气体