欢迎光临:莱耀标准品网!
 您的位置:对照品 > 标准品 > 分析标准品 >
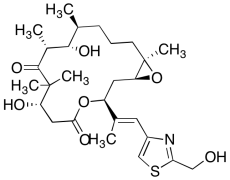
Epothilone F
产品基本信息
产品编号:E589015
产品名称:Epothilone F
产品CAS:208518-52-9
规格含量:
产品价格:面议
联系我们:
产品详细介绍
标准品编号: E589015
名称: Epothilone F
别名: (-)-Epothilone F; (1S,3S,7S,10R,11S,12S,16R)-7,11-Dihydroxy-3-[(1E)-2-[2-(hydroxymethyl)-4-thiazolyl]-1-methylethenyl]-8,8,10,12,16-pentamethyl-4,17-dioxabicyclo[14.1.0]heptadecane-5,9-dione
CAS号: 208518-52-9
分子式: C₂₇H₄₁NO₇S
分子量: 523.68
种类: Standards; Pharmaceutical/API Drug Impurities/Metabolites;
应用: Epothilone F is a related compound of Epothilones, which are a novel class of antineoplastic agents with antitubulin activity. In addition, Epothilones utilize a similar mechanism of action to that of taxanes and are less susceptible to multidrug resistance caused by P-glycoprotein. Studies showed that Epothilones exhibit antitumor activity against human cancer cells that are taxane-resistant.
参考文献


2011-2018 信阳莱耀生物科技有限公司 @ 信阳埃尔文生物科技有限公司版权所有

中检所标准品,对照品,标准气体
Keywords: 中检所标准品 对照品 标准气体