欢迎光临:莱耀标准品网!
 您的位置:对照品 > 标准品 > 分析标准品 >
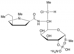
7-Epi Clindamycin 2-Phosphate Ammonium Salt
产品基本信息
产品编号:E582500
产品名称:7-Epi Clindamycin 2-Phosphate Ammonium Salt
产品CAS:
规格含量:1mg
产品价格:面议
联系我们:
产品详细介绍
标准品编号: E582500
名称: 7-Epi Clindamycin 2-Phosphate Ammonium Salt
别名: Methyl 7-Chloro-6,7,8-trideoxy-6-[[[(2S,4R)-1-methyl-4-propyl-2-pyrrolidinyl] carbonyl]amino]-1-thio-D-erythro-α-D-galactooctopyranoside 2-(Dihydrogen Phosphate) Monoammonium Salt;
参考CAS: 620181-05-7-free acid
分子式: C₁₈H₃₇ClN₃O₈PS
外观: 白色至Beige Solid
熔点: >165°C (dec.)
分子量: 521.99
储存: Hygroscopic, -20˚C Freezer, Under Inert Atmosphere
溶解度: Methanol, Water
种类: Standards; Pharmaceutical/API Drug Impurities/Metabolites; Carbohydrates and Oligosaccharides;
应用: Clindamycin (C580000) impurity.
参考文献


2011-2018 信阳莱耀生物科技有限公司 @ 信阳埃尔文生物科技有限公司版权所有

中检所标准品,对照品,标准气体
Keywords: 中检所标准品 对照品 标准气体