欢迎光临:莱耀标准品网!
 您的位置:对照品 > 标准品 > 分析标准品 >
(3aR,4R,5R,6aS)-5-[[(1,1-Dimethylethyl)dimethylsilyl]oxy]-4-[(1E,3S)-3-[[(1,1-dimethylethy
产品基本信息
产品编号:D461575
产品名称:(3aR,4R,5R,6aS)-5-[[(1,1-Dimethylethyl)dimethylsilyl]oxy]-4-[(1E,3S)-3-[[(1,1-dimethylethy
产品CAS:61628-05-5
规格含量:50mg
产品价格:面议
联系我们:
产品详细介绍
标准品编号: D461575
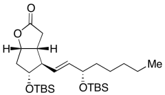
名称: (3aR,4R,5R,6aS)-5-[[(1,1-Dimethylethyl)dimethylsilyl]oxy]-4-[(1E,3S)-3-[[(1,1-dimethylethyl)dimethylsilyl]oxy]-1-octen-1-yl]hexahydro-2H-cyclopenta[b]furan-2-one
别名: [3aR-[3aα,4α(1E,3S*),5β,6aα]]-5-[[(1,1-Dimethylethyl)dimethylsilyl]oxy]-4-[3-[[(1,1-dimethylethyl)dimethylsilyl]oxy]-1-octenyl]hexahydro-2H-cyclopenta[b]furan-2-one; (3aR,4R,5R,6aS)-5-[[(1,1-Dimethylethyl)dimethylsilyl]oxy]-4-[(1E,3S)-3-[[(1,1-dimethylethyl)dimethylsilyl]oxy]-1-octenyl]hexahydro-2H-cyclopenta[b]furan-2-one;
CAS号: 61628-05-5
分子式: C₂₇H₅₂O₄Si₂
外观: Waxy Solid
分子量: 496.87
溶解性: DCM, Ethyl Acetate
种类: Building Blocks; Chiral Molecules; Pharmaceutical/API Drug Impurities/Metabolites;
应用: (3aR,4R,5R,6aS)-5-[[(1,1-Dimethylethyl)dimethylsilyl]oxy]-4-[(1E,3S)-3-[[(1,1-dimethylethyl)dimethylsilyl]oxy]-1-octen-1-yl]hexahydro-2H-cyclopenta[b]furan-2-one is an intermediate in the synthesis of Prostaglandin E2 (P838610), the most common and biologically potent of mammalian prostaglandins.
参考文献


2011-2018 信阳莱耀生物科技有限公司 @ 信阳埃尔文生物科技有限公司版权所有

中检所标准品,对照品,标准气体
Keywords: 中检所标准品 对照品 标准气体