欢迎光临:莱耀标准品网!
 您的位置:对照品 > 标准品 > 分析标准品 >
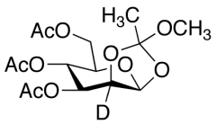
2-Deuterio-3,4,6-tri-O-acetyl-β-D-mannopyranose 1,2-(Methyl Orthoacetate)
产品基本信息
产品编号:D298000
产品名称:2-Deuterio-3,4,6-tri-O-acetyl-β-D-mannopyranose 1,2-(Methyl Orthoacetate)
产品CAS:
规格含量:100mg
产品价格:面议
联系我们:
产品详细介绍
标准品编号: D298000
名称: 2-Deuterio-3,4,6-tri-O-acetyl-β-D-mannopyranose 1,2-(Methyl Orthoacetate)
参考CAS号: 类似: 4435-05-6
分子式: C₁₅H₂₁DO₁₀
分子量: 363.34
种类: Standards; Isotopic Labeled Analogues; Carbohydrates and Oligosaccharides;
应用: Labelled analogue of 3,4,6-Tri-O-acetyl-β-D-mannopyranose 1,2-(Methyl Orthoacetate) (T767000).
参考文献


2011-2018 信阳莱耀生物科技有限公司 @ 信阳埃尔文生物科技有限公司版权所有

中检所标准品,对照品,标准气体
Keywords: 中检所标准品 对照品 标准气体