欢迎光临:莱耀标准品网!
 您的位置:对照品 > 标准品 > 分析标准品 >
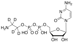
Cytidine 5’-Diphosphate Ethanolamine-d4
产品基本信息
产品编号:C998327
产品名称:Cytidine 5’-Diphosphate Ethanolamine-d4
产品CAS:
规格含量:10mg
产品价格:面议
联系我们:
产品详细介绍
标准品编号: C998327
名称: Cytidine 5’-Diphosphate Ethanolamine-d4
别名: Cytidine 5'-(Trihydrogen Diphosphate) P'-(2-Aminoethyl-d4) Ester; Cytidine 5'-(Trihydrogen Pyrophosphate) Mono(2-aminoethyl-d4) Ester; Cytidine Pyrophosphate 2-Aminoethyl-d4 Ester; CDP-Ethanolamine-d4; Cytidine 5'-Diphosphate-d4 Ethanolamine; Cytidine Diphosphate Ethanolamine-d4; Cytidine Diphosphoethanolamine-d4;
参考CAS号: 3036-18-8-未标记
分子式: C₁₁H₁₆D₄N₄O₁₁P₂
分子量: 450.27
种类: Standards; Isotopic Labeled Analogues; Pharmaceutical/API Drug Impurities/Metabolites; Carbohydrates and Oligosaccharides;
应用: Labelled Cytidine 5’-Diphosphate Ethanolamine (C998325). Cytidine 5’-Diphosphate Ethanolamine is an analog of Cytidine 5’-Diphosphate with an important role in the metabolism of phospholipides.
参考文献


2011-2018 信阳莱耀生物科技有限公司 @ 信阳埃尔文生物科技有限公司版权所有

中检所标准品,对照品,标准气体
Keywords: 中检所标准品 对照品 标准气体