欢迎光临:莱耀标准品网!
 您的位置:对照品 > 标准品 > 分析标准品 >
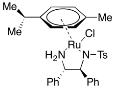
[(η-6-Cymene)[(S,S)-1,2-diphenyl-N-tosyl-1,2-ethanediaminato]ruthenium] chloride]
产品基本信息
产品编号:C989475
产品名称:[(η-6-Cymene)[(S,S)-1,2-diphenyl-N-tosyl-1,2-ethanediaminato]ruthenium] chloride]
产品CAS:192139-90-5
规格含量:250 mg
产品价格:面议
联系我们:
产品详细介绍
标准品编号: C989475
名称: [(η-6-Cymene)[(S,S)-1,2-diphenyl-N-tosyl-1,2-ethanediaminato]ruthenium] chloride]
别名: [RuCl(TsDPEN)(η-6-cymene)]; [((S,S)-2-Amino-1,2-diphenylethyl)[(4-tolyl)sulfonyl]amido](chloro)(η6-p-cymene)ruthenium; , [S-(R*,R*)]-[N-[2-(Amino-κN)-1,2-diphenylethyl]-4-methylbenzenesulfonamidato-κN]chloro[(1,2,3,4,5,6-η)-1-methyl-4-(1-methylethyl)benzene]ruthenium; [N-[(1S,2S)-2-(Amino-κN)-1,2-diphenylethyl]-4-methylbenzenesulfonamidato-κN]chloro[(1,2,3,4,5,6-η)-1-methyl-4-(1-methylethyl)benzene]ruthenium
CAS号: 192139-90-5
分子式: C₃₁H₃₅ClN₂O₂RuS
外观: Orange Solid
分子量: 636.21
溶解性: Chloroform, DCM, Ethyl Acetate
种类: Research Tools; Chiral Molecules; Miscellaneous;
应用: [(η-6-Cymene)[(S,S)-1,2-diphenyl-N-tosyl-1,2-ethanediaminato]ruthenium] chloride] is an catalyst used for enantioselective hydrogenation of quinolines, N-Alky Ketimines and antitumor, antiproliferative derivatives of natural products isolated from bacteria.
参考文献


2011-2018 信阳莱耀生物科技有限公司 @ 信阳埃尔文生物科技有限公司版权所有

中检所标准品,对照品,标准气体
Keywords: 中检所标准品 对照品 标准气体