您的位置:对照品 > 标准品 > 欧洲药典标准品 > |
|
|
|
| 产品基本信息 |
|
| 产品编号:H946333 |
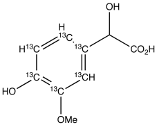
| 产品名称:4-Hydroxy-3-methoxymandelic Acid-13C6 |
| 产品CAS:1189690-96-7 |
| 规格含量:1mg |
| 产品价格:面议 |
| 联系我们: |
|
|
|
|
|
| 产品详细介绍 |
| 标准品编号: |
H946333 |
| 名称: |
4-Hydroxy-3-methoxymandelic Acid-13C6 |
| 别名: |
α,4-Dihydroxy-3-methoxybenzeneacetic Acid-13C6; (+/-)-Vanilmandelic Acid-13C6; (4-Hydroxy-3-methoxyphenyl)glycolic Acid-13C6; 3-Methoxy-4-hydroxyphenyl-hydroxyacetic Acid-13C6; HMMVIP(LA)13C6; VMVIP(LA)13C6; Vanilinmandelic Acid-13C6; dl-Vanillomandelic Acid-13C6; |
| CAS号: |
1189690-96-7 |
| 参考CAS号: |
类似: 55-10-7 |
| 分子式: |
C₃¹³C₆H₁₀O₅ |
| 外观: |
白色至Pale Beige Solid |
| 熔点: |
118-121°C |
| 分子量: |
204.13 |
| 储存: |
冰箱 |
| 溶解度: |
Methanol (Slightly) |
| 种类: |
Standards; Isotopic Labeled Analogues; Pharmaceutical/API Drug Impurities/Metabolites; |
| 应用: |
A labelled metabolite of catecholamines. |
| 参考文献 |
|
|
|
|
|
|
|
|