欢迎光临:莱耀标准品网!
 您的位置:对照品 > 标准品 > 欧洲药典标准品 >
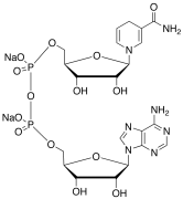
β-NADH Disodium Salt
产品基本信息
产品编号:N201480
产品名称:β-NADH Disodium Salt
产品CAS:606-68-8
规格含量:500mg
产品价格:面议
联系我们:
产品详细介绍
标准品编号: N201480
名称: β-NADH Disodium Salt
别名: Adenosine 5'-(Trihydrogen diphosphate) P'→5'-ester 1,4-Dihydro- 1-β-D-ribofuranosylnicotinamide Sodium Salt; 1,4-Dihydronicotinamide Adenine Dinucleotide Disodium; Codehydrase I Reduced; Codehydrogenase I Reduced; Coenzyme I Reduced; Cozymase I Reduced; DPNH; Dihydrocodehydrogenase I; Dihydrocozymase Disodium; Dihydronicotinamide Adenine Dinucleotide Disodium; ENADA; N 8129; NADH; NADH2; Reduced Codehydrogenase I; Reduced Diphosphopyridine Nucleotide; Reduced Nicotinamide Adenine Diphosphate; β-DPNH Disodium Salt;
CAS号: 606-68-8
参考CAS号: 58-68-4-free base
分子式: C₂₁H₂₇N₇Na₂O₁₄P₂
外观: 白色至淡黄色固体
熔点: >188°C (dec.)
分子量: 709.4
储存: Hygroscopic, -20°C Freezer, Under inert atmosphere
溶解度: Methanol (Slightly), Water (Slightly)
稳定性: Hygroscopic
种类: Standards; Carbohydrates and Oligosaccharides;
应用: One of the biologically active forms of nicotinic acid. Serves as a coenzyme of hydrogenases and dehydrogenases. NAD usually acts as a hydrogen acceptor, forming NADH which then serves as a hydrogen donor in the respiratory chain. Present in living cells primarily in the reduced form (NADPH) and is involved in synthetic reactions. Occurs in 2 forms, α-NAD and β-NAD, distinguished by the configuration of the ribosyl nicotinamide linkage. Only the β-anomer is bioactive.
参考文献


2011-2018 信阳莱耀生物科技有限公司 @ 信阳埃尔文生物科技有限公司版权所有

中检所标准品,对照品,标准气体
Keywords: 中检所标准品 对照品 标准气体