欢迎光临:莱耀标准品网!
 您的位置:对照品 > 标准品 > 欧洲药典标准品 >
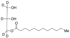
Monolaurin-d5
产品基本信息
产品编号:M549002
产品名称:Monolaurin-d5
产品CAS:
规格含量:5mg
产品价格:面议
联系我们:
产品详细介绍
标准品编号: M549002
名称: Monolaurin-d5
别名: 1-Mono-laurin-d5; (±)-2,3-Dihydroxypropyl dodecanoate-d5; (±)-Glyceryl-d5 1-monododecanoate; 1-Glyceryl-d5 laurate; 1-Monododecanoylglycerol-d5; 1-Monolaurin-d5; 1-Monolauroyl-rac-glycerol-d5; 3-Dodecanoyloxy-1,2-propanediol-d5; Dodecanoic acid α-monoglyceride-d5; Glycerin-d5 1-monolaurate; Glycerol-d5 1-laurate; Glycerol-d5 1-monododecanoate; Glycerol-d5 1-monolaurate; Glycerol-d5 α-monolaurate; Glyceryl-d5 laurate; Glyceryl-d5 monododecanoate; Glyceryl-d5 monolaurate; Lauric acid 1-monoglyceride-d5; Lauric acid α-monoglyceride-d5; Lauricidin-d5; Luaricidin-d5; NSC 698570-d5; α-Monolaurin-d5
参考CAS号: 142-18-7 unlabelled
分子式: C₁₅H₂₅D₅O₄
分子量: 279.43
种类: Standards; Isotopic Labeled Analogues; Lipids/Fatty Acids, Glycerol Derivatives; Environmental Standards, Mutagens and Metabolites;
应用: Monolaurin-d5 is labelled Monolaurin (M549000) which has antibacterial, antiviral, and other antimicrobial effects in vitro.
参考文献


2011-2018 信阳莱耀生物科技有限公司 @ 信阳埃尔文生物科技有限公司版权所有

中检所标准品,对照品,标准气体
Keywords: 中检所标准品 对照品 标准气体