欢迎光临:莱耀标准品网!
 您的位置:对照品 > 标准品 > 欧洲药典标准品 >
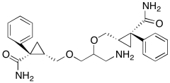
Milnacipran Dimer Impurity B
产品基本信息
产品编号:M344630
产品名称:Milnacipran Dimer Impurity B
产品CAS:
规格含量:5mg
产品价格:面议
联系我们:
产品详细介绍
标准品编号: M344630
名称: Milnacipran Dimer Impurity B
分子式: C₂₅H₃₁N₃O₄
分子量: 437.53
种类: Standards; Pharmaceutical/API Drug Impurities/Metabolites;
应用: Milnacipran Dimer Impurity B is derived from rac-Milnacipran Hydrochloride (M344600), which is an antidepressant. A selective norepinephrine and serotonin reuptake inhibitor approved for the management of fibromyalgia.
参考文献


2011-2018 信阳莱耀生物科技有限公司 @ 信阳埃尔文生物科技有限公司版权所有

中检所标准品,对照品,标准气体
Keywords: 中检所标准品 对照品 标准气体