您的位置:对照品 > 标准品 > 欧洲药典标准品 >
产品基本信息
产品编号:M330993
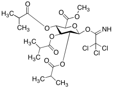
产品名称:Methyl 2,3,4-Tri-O-isobutyryl-1-O-trichloroacetimidoyl-β-D-glucopyranuronate
产品CAS:
规格含量:250mg
产品价格:面议
联系我们:
产品详细介绍
标准品编号:
M330993
名称:
Methyl 2,3,4-Tri-O-isobutyryl-1-O-trichloroacetimidoyl-β-D-glucopyranuronate
别名:
(2S,3S,5R,6S)-2-(Methoxycarbonyl)-6-(2,2,2-trichloro-1-iminoethoxy)tetrahydro-2H-pyran-3,4,5-triyl tris(2-methylpropanoate)
参考CAS号:
α isomer: 150607-96-8
分子式:
C₂₁H₃₀Cl₃NO₁₀
外观:
白色固体
分子量:
562.82
储存:
-20°C Freezer, Under inert atmosphere
溶解度:
Chloroform; Ethyl Acetate
种类:
Standards; Carbohydrates and Oligosaccharides;
应用:
Methyl 2,3,4-Tri-O-isobutyryl-1-O-trichloroacetimidoyl-β-D-glucopyranuronate is a by-product intermediate during the synthesis of rac-trans-3'-Hydroxy Cotinine-d3 O-β-D-Glucuronide (H924542), a labelled Nicotine metabolite. Carcinogen.
参考文献
Le Marchand, L., et al.: Cancer Res., 58, 4858 (1998); Minna, J., et al.: J. Clin. Invest., 111, 31 (2003); Bierut, L., et al.: Hum. Mol. Genet., 16, 24 (2007); Thorgeirsson, T., et al.: Nature, 452, 638 (2008)