欢迎光临:莱耀标准品网!
 您的位置:对照品 > 标准品 > 欧洲药典标准品 >
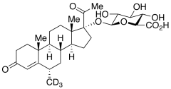
Medroxy Progesterone-d3 17-O-β-D-Glucuronide
产品基本信息
产品编号:M203557
产品名称:Medroxy Progesterone-d3 17-O-β-D-Glucuronide
产品CAS:
规格含量:10mg
产品价格:面议
联系我们:
产品详细介绍
标准品编号: M203557
名称: Medroxy Progesterone-d3 17-O-β-D-Glucuronide
别名: 6α-(Methyl-d3)-3,20-dioxopregn-4-en-17-yl β-D-Glucopyranosiduronic Acid;
参考CAS号: unlabelled cas# n/a
分子式: C₂₈H₃₇D₃O₉
分子量: 523.63
种类: Standards; Isotopic Labeled Analogues; Pharmaceutical/API Drug Impurities/Metabolites; Steroids;
应用: Labelled analogue of Medroxy Progesterone 17-O-β-D-Glucuronide, the glucuronide conjugate and potential metabolite of Medroxy Progesterone (M203550).
参考文献


2011-2018 信阳莱耀生物科技有限公司 @ 信阳埃尔文生物科技有限公司版权所有

中检所标准品,对照品,标准气体
Keywords: 中检所标准品 对照品 标准气体