欢迎光临:莱耀标准品网!
 您的位置:对照品 > 标准品 > 欧洲药典标准品 >
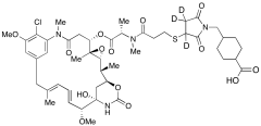
MCC-DM1-d3
产品基本信息
产品编号:M199303
产品名称:MCC-DM1-d3
产品CAS:
规格含量:2.5mg
产品价格:面议
联系我们:
产品详细介绍
标准品编号: M199303
名称: MCC-DM1-d3
别名: N2'-Deacetyl-N2'-[3-[[1-[(4-carboxycyclohexyl)methyl]-2,5-dioxo-3-pyrrolidinyl]thio]-1-oxopropyl]maytansine
参考CAS号: 1228105-53-0
种类: Standards; Chiral Molecules; Isotopic Labeled Analogues; Pharmaceutical/API Drug Impurities/Metabolites;
应用: MCC-DM1-d3 is labeled MCC-DM1 (M199300) which is a chemical designed for efficient detoxification via liver metabolism.
参考文献


2011-2018 信阳莱耀生物科技有限公司 @ 信阳埃尔文生物科技有限公司版权所有

中检所标准品,对照品,标准气体
Keywords: 中检所标准品 对照品 标准气体