您的位置:对照品 > 标准品 > 欧洲药典标准品 > |
|
|
|
| 产品基本信息 |
|
| 产品编号:I689502 |
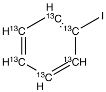
| 产品名称:Iodobenzene-13C6 |
| 产品CAS:104130-35-0 |
| 规格含量: |
| 产品价格:面议 |
| 联系我们: |
|
|
|
|
|
| 产品详细介绍 |
| 标准品编号: |
I689502 |
| 名称: |
Iodobenzene-13C6 |
| 别名: |
1-Iodobenzene-13C6; Benzene-13C6 Iodide; NSC 9244-13C6; Phenyl-13C6 Iodide; |
| CAS号: |
104130-35-0 |
| 参考CAS号: |
591-50-4 unlabelled |
| 分子式: |
¹³C₆H₅I |
| 分子量: |
209.96 |
| 种类: |
Building Blocks; Isotopic Labeled Analogues; |
| 应用: |
Used for preparation of uniformly Labelled 13C polychlorobiphenyl (PCB) standard. |
| 参考文献 |
|
|
|
|
|
|
|
|