欢迎光临:莱耀标准品网!
 您的位置:对照品 > 标准品 > 欧洲药典标准品 >
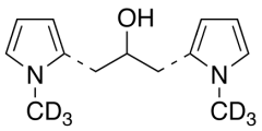
2,2'-(2-Hydroxytrimethylene)bis[1-methyl-dihydropyrrole]-d6
产品基本信息
产品编号:H972532
产品名称:2,2'-(2-Hydroxytrimethylene)bis[1-methyl-dihydropyrrole]-d6
产品CAS:1346600-76-7
规格含量:25mg
产品价格:面议
联系我们:
产品详细介绍
标准品编号: H972532
名称: 2,2'-(2-Hydroxytrimethylene)bis[1-methyl-dihydropyrrole]-d6
CAS号: 1346600-76-7
分子式: C₁₃H₁₂D₆N₂O
外观: Light Brown Oil
分子量: 224.33
溶解度: Dichloromethane, Ether, Ethyl Acetate, Methanol
种类: Standards; Chiral Molecules; Isotopic Labeled Analogues;
应用: Intermediate in the preparation of Cuscohygrine (C845002) and its derivatives.
参考文献


2011-2018 信阳莱耀生物科技有限公司 @ 信阳埃尔文生物科技有限公司版权所有

中检所标准品,对照品,标准气体
Keywords: 中检所标准品 对照品 标准气体