您的位置:对照品 > 标准品 > 欧洲药典标准品 > |
|
|
|
| 产品基本信息 |
|
| 产品编号:H294197 |
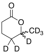
| 产品名称:(R/S)-δ-Hexalactone-d6 |
| 产品CAS: |
| 规格含量:250mg |
| 产品价格:面议 |
| 联系我们: |
|
|
|
|
|
| 产品详细介绍 |
| 标准品编号: |
H294197 |
| 名称: |
(R/S)-δ-Hexalactone-d6 |
| 别名: |
Tetrahydro-6-methyl-2H-pyran-2-one-d6; (+/-)-5-Hexanolide-d6; (+/-)-δ-Hexalactone-d6; 5-Hexanolide-d6; 5-Hydroxyhexanoic Acid Lactone-d6; 6-Methyl-δ-valerolactone-d6; 6-Methyltetrahydropyran-2-one-d6; δ-Caprolactone-d6; NSC 134774-d6; NSC 32863-d6; |
| 参考CAS号: |
类似: 823-22-3 |
| 分子式: |
C₆H₄D₆O₂ |
| 外观: |
Colourless Oil |
| 分子量: |
120.18 |
| 溶解度: |
Chloroform, Ether, Ethyl Acetate, |
| 种类: |
Building Blocks; Isotopic Labeled Analogues; Miscellaneous; |
| 应用: |
A volatile lactone found in fruits giving ripe produce their aroma. |
| 参考文献 |
|
|
|
|
|
|