欢迎光临:莱耀标准品网!
 您的位置:对照品 > 标准品 > 欧洲药典标准品 >
DL-Glyceraldehyde-1,2,3-13C3 (Aqueous Solution)
产品基本信息
产品编号:G598221
产品名称:DL-Glyceraldehyde-1,2,3-13C3 (Aqueous Solution)
产品CAS:478529-56-5
规格含量:25mg
产品价格:面议
联系我们:
产品详细介绍
标准品编号: G598221
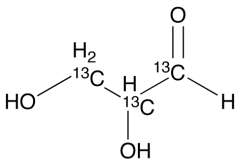
名称: DL-Glyceraldehyde-1,2,3-13C3 (Aqueous Solution)
别名: (±)-2,3-Dihydroxypropanal-1,2,3-13C; 2,3-Dihydroxypropanal-1,2,3-13C; 2,3-Dihydroxypropionaldehyde-1,2,3-13C; DL-Glyceraldehyde-1,2,3-13C; DL-Glyceric aldehyde-1,2,3-13C; Glyceraldehyde-1,2,3-13C; Glyceric Aldehyde-1,2,3-13C; Glycerinaldehyde-1,2,3-13C; Glycerose-1,2,3-13C; NSC 67934-1,2,3-13C; dl-Glyceraldehyde-1,2,3-13C; α,β-Dihydroxypropionaldehyde-1,2,3-13C
CAS号: 478529-56-5
参考CAS号: 类似: 56-82-6
分子式: ¹³C₃H₆O₃
分子量: 93.06
种类: Building Blocks; Isotopic Labeled Analogues;
应用: Isotope labelled Glyceraldehyde is the simplest of all aldoses and have been shown to be the one of the carbonyl metabolite of dietary fructose.
参考文献


2011-2018 信阳莱耀生物科技有限公司 @ 信阳埃尔文生物科技有限公司版权所有

中检所标准品,对照品,标准气体
Keywords: 中检所标准品 对照品 标准气体