您的位置:对照品 > 标准品 > 欧洲药典标准品 > |
|
|
|
| 产品基本信息 |
|
| 产品编号:F462002 |
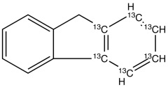
| 产品名称:Fluorene-13C6 |
| 产品CAS:1189497-69-5 |
| 规格含量:10mg |
| 产品价格:面议 |
| 联系我们: |
|
|
|
|
|
| 产品详细介绍 |
| 标准品编号: |
F462002 |
| 名称: |
Fluorene-13C6 |
| 别名: |
9H-Fluorene-13C6; 2,2'-Methylenebiphenyl-13C6; Diphenylenemethane-13C6; NSC 6787-13C6; o-Biphenylenemethane-13C6; |
| CAS号: |
1189497-69-5 |
| 参考CAS: |
86-73-7-unlabelled |
| 分子式: |
C₇¹³C₆H₁₀ |
| 外观: |
白色固体 |
| 熔点: |
114-117°C |
| 分子量: |
172.17 |
| 储存: |
冰箱保存 |
| 溶解度: |
Chloroform, Hexane |
| 种类: |
Building Blocks; Isotopic Labeled Analogues; |
| 应用: |
Fluorene-13C6 is a labelled polycyclic aromatic hydrocarbon. |
| 危险品: |
Not a dangerous good if item is equal to or less than 1g/ml and there is less than 100g/ml in the package |
| 参考文献 |
|
|
|
|
|
|
|
|