欢迎光临:莱耀标准品网!
 您的位置:对照品 > 标准品 > 欧洲药典标准品 >
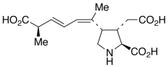
Domoic Acid
产品基本信息
产品编号:D531300
产品名称:Domoic Acid
产品CAS:14277-97-5
规格含量:5mg
产品价格:面议
联系我们:
产品详细介绍
标准品编号: D531300
名称: Domoic Acid
别名: (2S,3S,4S)-2-Carboxy-4-[(1Z,3E,5R)-5-carboxy-1-methyl-1,3-hexadien-1-yl]-3-pyrrolidineacetic Acid; (-)-Domoic Acid; L-Domoic Acid; NSC 288031; DA
CAS号: 14277-97-5
分子式: C₁₅H₂₁NO₆
外观: 白色至Pale Beige Solid
熔点: 180 - 190°C (dec.)
分子量: 311.33
储存: Amber Vial, -20˚C Freezer, Under Inert Atmosphere
溶解度: Water (Slightly)
种类: Standards; Amino Acids; Pharmaceutical/API Drug Impurities/Metabolites;
应用: Domoic acid is an excitatory amino acid isolated from the red alga Chondria armata Okamura, Rhodomelaceae. Domoic acid shown to be responsible for amnesic shellfish poisoning associated with ingestion of certain cultured blue mussels. Domoic acid is a structural analog of Kainic acid (K135000). DA. EU regulated marine toxin.
参考文献


2011-2018 信阳莱耀生物科技有限公司 @ 信阳埃尔文生物科技有限公司版权所有

中检所标准品,对照品,标准气体
Keywords: 中检所标准品 对照品 标准气体