欢迎光临:莱耀标准品网!
 您的位置:对照品 > 标准品 > 欧洲药典标准品 >
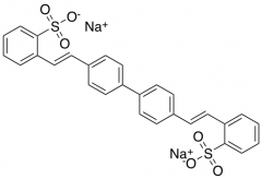
Disodium 2,2’-[Biphenyl-4,4’-diyldiethene-2,1-diyl]dibenenesulphonate
产品基本信息
产品编号:D476393
产品名称:Disodium 2,2’-[Biphenyl-4,4’-diyldiethene-2,1-diyl]dibenenesulphonate
产品CAS:27344-41-8
规格含量:10g
产品价格:面议
联系我们:
产品详细介绍
标准品编号: D476393
名称: Disodium 2,2’-[Biphenyl-4,4’-diyldiethene-2,1-diyl]dibenenesulphonate
CAS号: 27344-41-8
分子式: C₂₈H₂₀Na₂O₆S₂
分子量: 562.57
种类: Building Blocks; Miscellaneous;
应用: DISODIUM 2,2'-[BIPHENYL-4,4'-DIYLDIETHENE-2,1-DIYL]DIBENZENESULPHONATE (cas# 27344-41-8) is a useful research chemical.
参考文献


2011-2018 信阳莱耀生物科技有限公司 @ 信阳埃尔文生物科技有限公司版权所有

中检所标准品,对照品,标准气体
Keywords: 中检所标准品 对照品 标准气体