欢迎光临:莱耀标准品网!
 您的位置:对照品 > 标准品 > 欧洲药典标准品 >
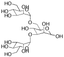
3,6-Di-O-(α-D-mannopyranosyl)-D-mannopyrannose
产品基本信息
产品编号:D460650
产品名称:3,6-Di-O-(α-D-mannopyranosyl)-D-mannopyrannose
产品CAS:121123-33-9
规格含量:5mg
产品价格:面议
联系我们:
产品详细介绍
标准品编号: D460650
名称: 3,6-Di-O-(α-D-mannopyranosyl)-D-mannopyrannose
别名: α-D-Man-[1-3]-(α-D-man-[1-6])-D-man
CAS号: 121123-33-9
分子式: C₁₈H₃₂O₁₆
外观: 白色至白色固体
熔点: 140-145°C
分子量: 504.44
储存: Hygroscopic, 冰箱保存, Under Inert Atmosphere
溶解性: Water (Slightly)
稳定性: Hygroscopic
种类: Standards; Carbohydrates and Oligosaccharides;
应用: Mannotriose core structure of n-linked oligosaccharides. Of potential interest in the development of conjugated vaccine.
参考文献


2011-2018 信阳莱耀生物科技有限公司 @ 信阳埃尔文生物科技有限公司版权所有

中检所标准品,对照品,标准气体
Keywords: 中检所标准品 对照品 标准气体