欢迎光临:莱耀标准品网!
 您的位置:对照品 > 标准品 > 欧洲药典标准品 >
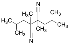
2,3-Diisobutyl-2,3-dimethylsuccinonitrile
产品基本信息
产品编号:D456305
产品名称:2,3-Diisobutyl-2,3-dimethylsuccinonitrile
产品CAS:80822-82-8
规格含量:25mg
产品价格:面议
联系我们:
产品详细介绍
标准品编号: D456305
名称: 2,3-Diisobutyl-2,3-dimethylsuccinonitrile
别名: 2,3-Dimethyl-2,3-bis(2-methylpropyl)-butanedinitrile; 2,3-Dimethyl-2,3-diisobutyl Succinonitrile;
CAS号: 80822-82-8
分子式: C₁₄H₂₄N₂
分子量: 220.35
种类: Building Blocks; Standards; Miscellaneous;
应用: 2,3-Diisobutyl-2,3-dimethylsuccinonitrile is the main volatile organic compound emitted from laser printers during printing.
参考文献


2011-2018 信阳莱耀生物科技有限公司 @ 信阳埃尔文生物科技有限公司版权所有

中检所标准品,对照品,标准气体
Keywords: 中检所标准品 对照品 标准气体