欢迎光临:莱耀标准品网!
 您的位置:对照品 > 标准品 > 欧洲药典标准品 >
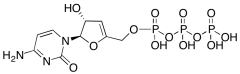
3',4'-Didehydro-3'-deoxycytidine Triphosphate
产品基本信息
产品编号:D439673
产品名称:3',4'-Didehydro-3'-deoxycytidine Triphosphate
产品CAS:
规格含量:1mg
产品价格:面议
联系我们:
产品详细介绍
标准品编号: D439673
名称: 3',4'-Didehydro-3'-deoxycytidine Triphosphate
别名: 4-amino-1-[(2R,3R)-2,3-dihydro-3-hydroxy-5-(hydroxymethyl)-2-furanyl]-2(1H)-Pyrimidinone Triphosphate
参考CAS号: 386264-46-6
分子式: C₉H₁₄N₃O₁₃P₃
分子量: 465.14
种类: Standards; Pharmaceutical/API Drug Impurities/Metabolites; Anti-virals/Anti-retrovirals;
应用: 3',4'-Didehydro-3'-deoxycytidine Triphosphate, is a novel compound having anti viral properties. It can inhibit the replication of several viruses, including Zika virus. This molecule can be produced naturally in mammals body via dehydration of cytidine triphosphate (CTP) catalyzed by the enzyme viperin.
参考文献


2011-2018 信阳莱耀生物科技有限公司 @ 信阳埃尔文生物科技有限公司版权所有

中检所标准品,对照品,标准气体
Keywords: 中检所标准品 对照品 标准气体