欢迎光临:莱耀标准品网!
 您的位置:对照品 > 标准品 > 欧洲药典标准品 >
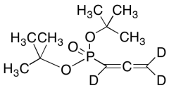
Di-tert-butyl propadienylphosphonate-D5
产品基本信息
产品编号:D428136
产品名称:Di-tert-butyl propadienylphosphonate-D5
产品CAS:
规格含量:25mg
产品价格:面议
联系我们:
产品详细介绍
标准品编号: D428136
名称: Di-tert-butyl propadienylphosphonate-D5
别名: Di-tert-Butyl allenylphosphonate; Di-tert-butyl Propadienylphosphonic Acid Ester; Bis(1,1-dimethylethyl) 1,2-Propadienylphosphonic Ester; Bis(1,1-dimethylethyl) P-1,2-Propadien-1-ylphosphonic Ester;
参考CAS号: 25383-48-6
分子式: C₁₁H₁₈D₃O₃P
分子量: 235.27
种类: Building Blocks; Isotopic Labeled Analogues;
应用: Di-tert-butyl propadienylphosphonate-D5 is an intermediate used in the synthesis of rac Fosfomycin-D5 (Major) Benzylamine Salt (F727503), which is the deuterium labelled analogue of Fosfomycin antibiotic. Related to Fosfomycin Disodium Salt (F727500), rac Fosfomycin-13C3 Benzylamine Salt (F727502), Fosfomycin Tromethamine (F727505), and Fosfomycin Calcium (F727508).
参考文献


2011-2018 信阳莱耀生物科技有限公司 @ 信阳埃尔文生物科技有限公司版权所有

中检所标准品,对照品,标准气体
Keywords: 中检所标准品 对照品 标准气体