欢迎光临:莱耀标准品网!
 您的位置:对照品 > 标准品 > 欧洲药典标准品 >
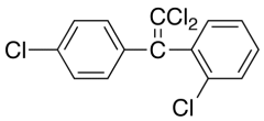
2,4’-DDE
产品基本信息
产品编号:D195200
产品名称:2,4’-DDE
产品CAS:3424-82-6
规格含量:500mg
产品价格:面议
联系我们:
产品详细介绍
标准品编号: D195200
名称: 2,4’-DDE
别名: 1-Chloro-2-[2,2-dichloro-1-(4-chlorophenyl)ethenyl]-benzene; 1,1-Dichloro-2-(o-chlorophenyl)-2-(p-chlorophenyl)-ethylene; 1,1-Dichloro-2-(o-chlorophenyl)-2-(p-chlorophenyl)ethylene; 2,4'-Dichlorodiphenyldichloroethylene; 2-(2-Chlorophenyl)-2-(4-chlorophenyl)-1,1-dichloroethylene; NSC 59908; o,p'-DDE; o,p'-Dichlorodiphenyldichloroethylene;
CAS号: 3424-82-6
分子式: C₁₄H₈Cl₄
外观: 白色至淡黄色固体
熔点: 74-78°C
分子量: 318.03
储存: Hygroscopic, -20°C Freezer, Under inert atmosphere
溶解性: Chloroform (Slightly), Methanol (Slightly, Heated)
种类: Standards; Pharmaceutical/API Drug Impurities/Metabolites;
应用: 2,4’-DDE is a DDT metabolite that affects the estrogen and progesterone receptors. It has also been studied as a potential use in treatment of metastatic aderenal carcinoma.
危险品: Not a dangerous good if item is equal to or less than 1g/ml and there is less than 100g/ml in the package
参考文献


2011-2018 信阳莱耀生物科技有限公司 @ 信阳埃尔文生物科技有限公司版权所有

中检所标准品,对照品,标准气体
Keywords: 中检所标准品 对照品 标准气体