欢迎光临:莱耀标准品网!
 您的位置:对照品 > 标准品 > dr标准品 >
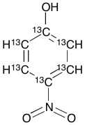
4-Nitrophenol-13C6
产品基本信息
产品编号:N496909
产品名称:4-Nitrophenol-13C6
产品CAS:
规格含量:2.5mg
产品价格:面议
联系我们:
产品详细介绍
标准品编号: N496909
名称: 4-Nitrophenol-13C6
参考CAS号: Unlabelled: 100-02-7
分子式: ¹³C₆H₅NO₃
外观: Light Brown Solid
熔点: 108 - 113°C
分子量: 145.06
储存: 冰箱
溶解度: DMSO (Slightly), Methanol (Slightly)
种类: Building Blocks; Isotopic Labeled Analogues;
应用: 4-Nitrophenol-13C6 is an intermediate in the synthesis of labelled 4-Aminophenol (A618920). It is also a nephrotoxic metabolite of Acetaminophen (A161220) and Phenacetin (P294580) (1,2).
危险品: Not a dangerous good if item is equal to or less than 1g/ml and there is less than 100g/ml in the package
参考文献


2011-2018 信阳莱耀生物科技有限公司 @ 信阳埃尔文生物科技有限公司版权所有

中检所标准品,对照品,标准气体
Keywords: 中检所标准品 对照品 标准气体