欢迎光临:莱耀标准品网!
 您的位置:对照品 > 标准品 > dr标准品 >
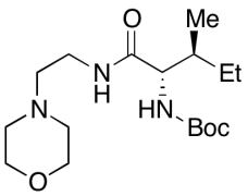
N-[(1S,2S)-2-Methyl-1-[[[2-(4-morpholinyl)ethyl]amino]carbonyl]butyl]carbamic Acid 1,1-Dim
产品基本信息
产品编号:M725205
产品名称:N-[(1S,2S)-2-Methyl-1-[[[2-(4-morpholinyl)ethyl]amino]carbonyl]butyl]carbamic Acid 1,1-Dim
产品CAS:1243259-11-1
规格含量:500mg
产品价格:面议
联系我们:
产品详细介绍
标准品编号: M725205
名称: N-[(1S,2S)-2-Methyl-1-[[[2-(4-morpholinyl)ethyl]amino]carbonyl]butyl]carbamic Acid 1,1-Dimethylethyl Ester
CAS号: 1243259-11-1
分子式: C₁₇H₃₃N₃O₄
外观: 白色固体
分子量: 343.46
种类: Building Blocks; Chiral Molecules; Amino Acids; Pharmaceutical/API Drug Impurities/Metabolites;
应用: N-[(1S,2S)-2-Methyl-1-[[[2-(4-morpholinyl)ethyl]amino]carbonyl]butyl]carbamic Acid 1,1-Dimethylethyl Ester is an intermediate in the synthesis of peptideamides for treatment of retroviral infection.
参考文献


2011-2018 信阳莱耀生物科技有限公司 @ 信阳埃尔文生物科技有限公司版权所有

中检所标准品,对照品,标准气体
Keywords: 中检所标准品 对照品 标准气体