欢迎光临:莱耀标准品网!
 您的位置:对照品 > 标准品 > dr标准品 >
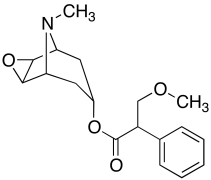
O-Methylscopolamine
产品基本信息
产品编号:M285830
产品名称:O-Methylscopolamine
产品CAS:51732-64-0
规格含量:50mg
产品价格:面议
联系我们:
产品详细介绍
标准品编号: M285830
名称: O-Methylscopolamine
别名: (1R,2R,4S,5S,7s)-9-methyl-3-oxa-9-azatricyclo[3.3.1.02,4]nonan-7-yl 2-methoxy-2-phenylacetate; O-Methylhyoscine;
CAS号: 51732-64-0
分子式: C₁₈H₂₃NO₄
分子量: 317.38
种类: Standards; Pharmaceutical/API Drug Impurities/Metabolites;
应用: O-Methylscopolamine and other scopolamine derivatives have been used to study acetylcholine esterase and trypsin inhibitory activity.
参考文献


2011-2018 信阳莱耀生物科技有限公司 @ 信阳埃尔文生物科技有限公司版权所有

中检所标准品,对照品,标准气体
Keywords: 中检所标准品 对照品 标准气体