您的位置:对照品 > 标准品 > dr标准品 > |
|
|
|
| 产品基本信息 |
|
| 产品编号:M202615 |
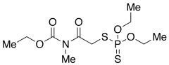
| 产品名称:Mecarbam |
| 产品CAS:2595-54-2 |
| 规格含量:1g |
| 产品价格:面议 |
| 联系我们: |
|
|
|
|
|
| 产品详细介绍 |
| 标准品编号: |
M202615 |
| 名称: |
Mecarbam |
| 别名: |
Murfotox; O,O-Diethyl S-(N-ethoxycarbonyl-N-methylcarbamoylmethyl) phosphorodithioate; O,O-Diethyl S-(N-ethoxycarbonyl-N-methylcarbamoylmethyl) phosphorothiolothionate; Pennsalt TD 72; Pestan; TD 72; Criotox; MS 1053; MS 1143; (Mercaptoacetyl)methylcarbamic Acid Ethyl Ester S-Ester with O,O-Diethyl Phosphorodithioate; (Mercaptoacetyl)methylcarbamic Acid Ethyl Ester O,O-Diethyl phosphorodithioate; 6-Ethoxy-2-methyl-3-oxo-7-oxa-5-thia-2-aza-6-phosphanonanoic Acid Ethyl Ester, 6-Sulfide; |
| CAS号: |
2595-54-2 |
| 分子式: |
C₁₀H₂₀NO₅PS₂ |
| 分子量: |
329.37 |
| 种类: |
Standards; Environmental Standards, Mutagens and Metabolites; Pesticides; |
| 应用: |
Mecarbam is an organothiophosphate acaricides used to control powdery mildew of cucumbers. |
| 参考文献 |
|
|
|
|
|
|